石油与天然气地质 ›› 2025, Vol. 46 ›› Issue (1): 261-272.doi: 10.11743/ogg20250118
刘忠群1,2(
), 贾英1(
), 梁彬3, 陈冲3, 牛骏1, 郭亚兵1, 于清艳1, 李倩1
收稿日期:2024-09-04
修回日期:2024-12-31
出版日期:2025-02-28
发布日期:2025-03-03
通讯作者:
贾英
E-mail:liuzq.syky@sinopec.com;jiaying.syky@sinopec.com
第一作者简介:刘忠群(1972—),男,博士、教授级高级工程师,油气田开发。E-mail: liuzq.syky@sinopec.com。
基金项目:
Zhongqun LIU1,2(
), Ying JIA1(
), Bin LIANG3, Chong CHEN3, Jun NIU1, Yabing GUO1, Qingyan YU1, Qian LI1
Received:2024-09-04
Revised:2024-12-31
Online:2025-02-28
Published:2025-03-03
Contact:
Ying JIA
E-mail:liuzq.syky@sinopec.com;jiaying.syky@sinopec.com
摘要:
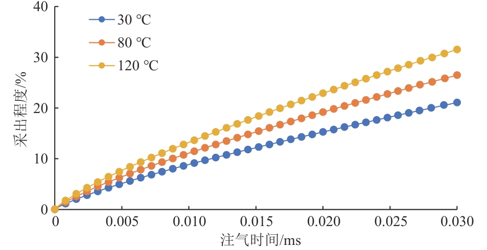
微观气、水滞留机理不明确严重制约了致密低渗储层中油气采收率的提高。通过新的微观实验方法和数值模拟技术,研究了致密砂岩储层中气、水滞留的微观机制,评估了注入CO2提高采收率的可行性。研究表明:① 克服实验压力过低(<0.20 MPa)等实验方法的局限性和实验流程与实际生产条件不匹配的问题,建立全新的微观滞留实验流程和方法,通过微观数值模拟技术,揭示了致密储层中具有盲端-角隅处滞留、绕流形成滞留、卡断形成滞留和“H型”孔道处滞留等4种主要气、水滞留类型。② 注入CO2提高致密低渗气藏采收率的机理是CO2的注入能够剥离水膜、促进甲烷传质扩散置换以及有效地进行驱替,可以显著提高致密孔喉中的天然气采收率。③ 注入CO2能够提高采收率10 % ~ 19 %,这是致密低渗气藏高效开发的新技术途径。
中图分类号:
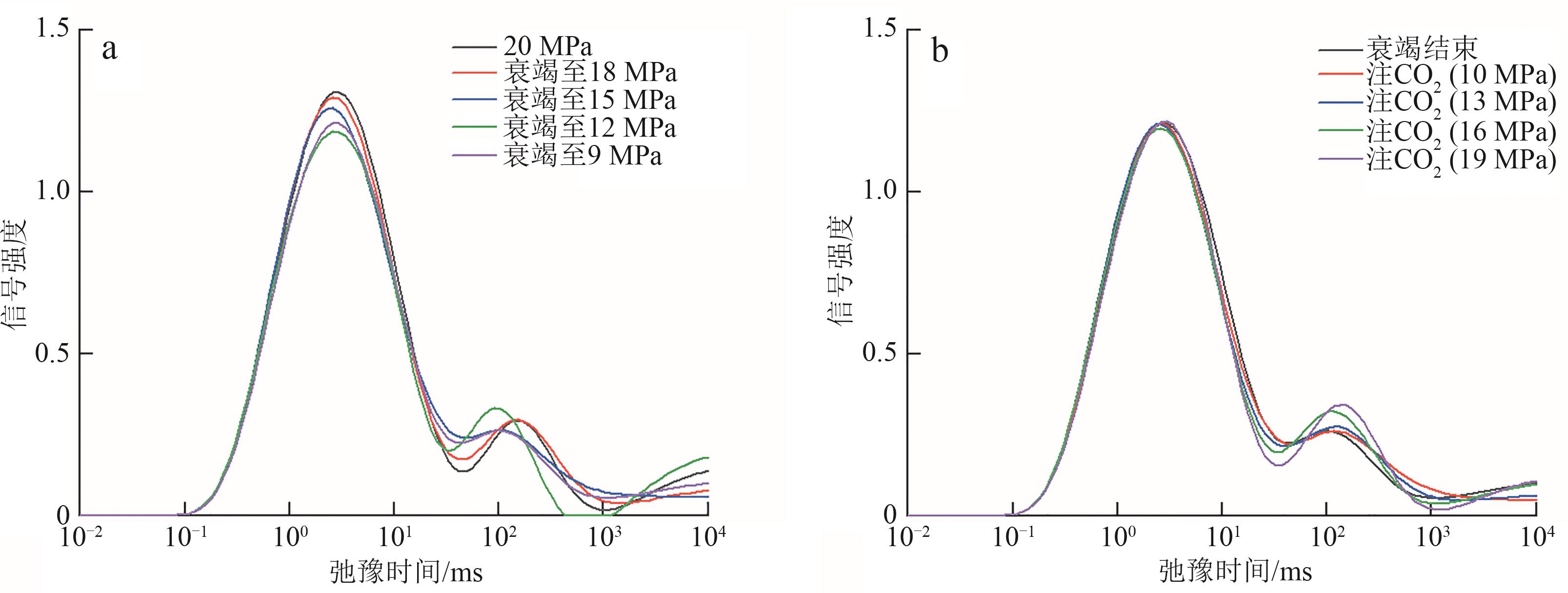
表2
大牛地气田滞留气赋存模式及CO2针对不同类型滞留气的驱替机理"
| 滞留气类型 | 主要影响因素 | 形成机理 | 驱替机理 | 示意图(微流控实验) |
|---|---|---|---|---|
| 盲端-角隅处滞留气 | 通道连通性 | 无有效通道沟通,气体被压缩封闭 | 剥离水膜, 传质扩散置换甲烷 | ![]() |
| 绕流形成滞留气 | 毛细管力和 驱替压力 | 驱替压差较低,毛细管力为动力,驱替小孔道,封闭大孔道;驱替压差较高,驱替压力为动力,驱替大孔道,封闭小孔道 | 剥离水膜, 驱替作用滞留气 | ![]() |
| 卡断形成滞留气 | 贾敏效应 | 喉道狭窄,贾敏效应产生附加毛管阻力;喉道处水膜增厚,产生水锁现象,缩小喉道直径,加剧贾敏效应,增大气流阻力 | 驱替作用释放滞留气 | ![]() |
| “H型”孔道处滞留气 | 毛细管力 | 毛管指进优先通过孔隙2条“边路”向前突破;水依靠模型亲水性进入“H型”孔道的“桥”,压缩“桥”上的气体形成封闭气 | 束缚水的运移与重新分布, 驱替作用滞留气 | ![]() |
| 1 | 李士伦. 天然气工程[M]. 北京: 石油工业出版社, 2000: 8. |
| LI Shilun. Natural gas engineering[M]. Beijing: Petroleum Industry Press, 2000: 8. | |
| 2 | 贾爱林, 位云生, 郭智, 等. 中国致密砂岩气开发现状与前景展望[J]. 天然气工业, 2022, 42(1): 83-92. |
| JIA Ailin, WEI Yunsheng, GUO Zhi, et al. Development status and prospect of tight sandstone gas in China[J]. Natural Gas Industry, 2022, 42(1): 83-92. | |
| 3 | SUN W, TANG G Q. Visual study of water injection in low permeable sandstone[J]. Journal of Canadian Petroleum Technology, 2006, 45(11): 21-26. |
| 4 | 黄延章, 于大森. 微观渗流实验力学及其应用[M]. 北京: 石油工业出版社, 2001: 45-48. |
| HUANG Yanzhang, YU Dasen. Microscopic seepage mechanics and its applications[M]. Beijing: Petroleum Industry Press, 2001: 45-48. | |
| 5 | 郭平, 苑志旺, 易敏, 等. 低渗低压油藏真实岩心薄片微观水驱试验研究[J]. 石油天然气学报, 2009, 31(4): 100-105. |
| GUO Ping, YUAN Zhiwang, YI Min, et al. Experimental study of microscopic water displacement in low-permeability and low-pressure reservoirs by using sandstone slice[J]. Journal of Oil and Gas Technology, 2009, 31(4): 100-105. | |
| 6 | DULLIEN F A L. Porous media: Fluid transport and pore structure[M]. 2nd ed. San Diego: Academic Press, 1979. |
| 7 | 王晓梅, 赵靖舟, 刘新社. 苏里格地区致密砂岩地层水赋存状态和产出机理探讨[J]. 石油实验地质, 2012, 34(4): 400-405. |
| WANG Xiaomei, ZHAO Jingzhou, LIU Xinshe. Occurrence state and production mechanism of formation water in tight sandstone reservoirs of Sulige area, Ordos Basin[J]. Petroleum Geology and Experiment, 2012, 34(4): 400-405. | |
| 8 | 支鑫. 苏西致密砂岩气藏储层产水机理及预测[D]. 廊坊: 中国科学院研究生院(渗流流体力学研究所), 2015. |
| ZHI Xin. Study on the water production rule of Sulige tight sandstone gas reservoir[D]. Langfang: Institute of Porous Flow and Fluid Mechanics, University of Chinese Academy of Sciences, 2015. | |
| 9 | 郭平, 黄伟岗, 姜贻伟, 等. 致密气藏束缚与可动水研究[J]. 天然气工业, 2006, 26(10): 99-101. |
| GUO Ping, HUANG Weigang, JIANG Yiwei, et al. Research on the irreducible and movable water of tight sandstone gas reservoir[J]. Natural Gas Industry, 2006, 26(10): 99-101. | |
| 10 | 张浩, 康毅力, 陈一健, 等. 致密砂岩气藏超低含水饱和度形成地质过程及实验模拟研究[J]. 天然气地球科学, 2005, 16(2): 186-189. |
| ZHANG Hao, KANG Yili, CHEN Yijian, et al. The study of geology course and experiment simulation for forming ultra-low water saturation in tight sandstones gas reservoirs[J]. Natural Gas Geoscience, 2005, 16(2): 186-189. | |
| 11 | 高树生, 叶礼友, 熊伟, 等. 大型低渗致密含水气藏渗流机理及开发对策[J]. 石油天然气学报, 2013, 35(7): 93-99. |
| GAO Shusheng, YE Liyou, XIONG Wei, et al. Seepage mechanism and strategy for development of large and low permeability and tight sandstone gas reservoirs with water content[J]. Journal of Oil and Gas Technology, 2013, 35(7): 93-99. | |
| 12 | 张烈辉, 熊伟, 赵玉龙, 等. 衰竭底水气藏注CO2提高天然气采收率与碳封存机理[J]. 天然气工业, 2024, 44(4): 25-38. |
| ZHANG Liehui, XIONG Wei, ZHAO Yulong, et al. Mechanism of CO2 injection to enhance gas recovery and carbon storage in depleted bottom-water gas reservoirs[J]. Natural Gas Industry, 2024, 44(4): 25-38. | |
| 13 | AL-HASHAMI A, REN S R, TOHIDI B. CO2 injection for enhanced gas recovery and geo-storage: Reservoir simulation and economics[C]//SPE Europec/EAGE Annual Conference. Houston: Society of Petroleum Engineers, 2005: SPE-94129-MS. |
| 14 | POOLADI-DARVISH M, HONG Huifang, THEYS S, et al. CO2 injection for enhanced gas recovery and geological storage of CO2 in the long coulee glauconite F pool, Alberta[C]//SPE Annual Technical Conference and Exhibition. Houston: Society of Petroleum Engineers, 2008: SPE-115789-MS. |
| 15 | MAMORA D D, SEO J G. Enhanced gas recovery by carbon dioxide sequestration in depleted gas reservoirs[C]//SPE Annual Technical Conference and Exhibition. Houston: Society of Petroleum Engineers, 2002: SPE-77347-MS. |
| 16 | 史云清, 贾英, 潘伟义, 等. 致密低渗透气藏注CO2提高采收率潜力评价[J]. 天然气工业, 2017, 37(3): 62-69. |
| SHI Yunqing, JIA Ying, PAN Weiyi, et al. Potential evaluation on CO2-EGR in tight and low-permeability reservoirs[J]. Natural Gas Industry, 2017, 37(3): 62-69. | |
| 17 | OLDENBURG C M, PRUESS K, BENSON S M. Process modeling of CO2 injection into natural gas reservoirs for carbon sequestration and enhanced gas recovery[J]. Energy and Fuels, 2001, 15(2): 293-298. |
| 18 | SEO J G, MAMORA D D. Experimental and simulation studies of sequestration of supercritical carbon dioxide in depleted gas reservoirs[C]//SPE/EPA/DOE Exploration and Production Environmental Conference. Houston: Society of Petroleum Engineers, 2003: SPE-81200-MS. |
| 19 | WANG Lu, ZHANG Yifan, ZOU Rui, et al. A systematic review of CO2 injection for enhanced oil recovery and carbon storage in shale reservoirs[J]. International Journal of Hydrogen Energy, 2023, 48(95): 37134-37165. |
| 20 | WANG Wendong, WEN Jiayi, WANG Chengwei, et al. Current status and development trends of CO2 storage with enhanced natural gas recovery (CS-EGR)[J]. Fuel, 2023, 349: 128555. |
| 21 | ABDULLAH N, HASAN N. Effects of miscible CO2 injection on production recovery[J]. Journal of Petroleum Exploration and Production Technology, 2021, 11(9): 3543-3557. |
| 22 | 李奇贤, 许江, 彭守建, 等. 多压力系统气藏合采物理模拟研究进展评述[J]. 煤炭科学技术, 2023, 51(9): 149-159. |
| LI Qixian, XU Jiang, PENG Shoujian, et al. Review on the progress for physical simulation for gas reservoirs co-production in multi-pressure system[J]. Coal Science and Technology, 2023, 51(9): 149-159. | |
| 23 | 曹成, 陈星宇, 张烈辉, 等. 气藏注CO2提高采收率及封存评价方法研究进展[J]. 科学技术与工程, 2024, 24(18): 7463-7475. |
| CAO Cheng, CHEN Xingyu, ZHANG Liehui, et al. Review of gas reservoir CO2 injection for enhanced recovery and sequestration evaluation methods[J]. Science Technology and Engineering, 2024, 24(18): 7463-7475. | |
| 24 | 曾溅辉, 张亚雄, 张在振, 等. 致密砂岩气藏复杂气-水关系形成和分布主控因素及分布模式[J]. 石油与天然气地质, 2023, 44(5): 1067-1083. |
| ZENG Jianhui, ZHANG Yaxiong, ZHANG Zaizhen, et al. Complex gas-water contacts in tight sandstone gas reservoirs: Distribution pattern and dominant factors controlling their formation and distribution[J]. Oil & Gas Geology, 2023, 44(5): 1067-1083. | |
| 25 | 关晓东, 郭磊. 深层—超深层油气成藏研究新进展及展望[J]. 石油实验地质, 2023, 45(2): 203-209. |
| 26 | 孙焕泉, 杨勇, 方吉超, 等. 提高油气田采收率技术协同方法与应用[J]. 石油与天然气地质, 2024, 45(3): 600-608. |
| SUN Huanquan, YANG Yong, FANG Jichao, et al. Technological synergy for enhancing hydrocarbon recovery and its applications[J]. Oil & Gas Geology, 2024, 45(3): 600-608. | |
| 27 | 姚振杰, 李剑, 陈芳萍, 等. 延长油田CO2驱扩大波及体积矿场实践[J]. 石油地质与工程, 2024, 38(5): 84-88. |
| 28 | YU Qingyan, JIA Ying, LIU Pengcheng, et al. Rate transient analysis methods for water-producing gas wells in tight reservoirs with mobile water[J]. Energy Geoscience, 2024, 5(1). |
| 29 | WANG Fanliao, LIU Shucheng, Ying Jia, et al. Production forecasting methods for different types of gas reservoirs[J]. Energy Geoscience, 2024, 5(3). |
| 30 | WANG Ai, LIU Junlong, LIU Zhongqun, et al. Genetic mechanisms of high-quality tight siliciclastic reservoirs: A case study from the Upper Triassic Xujiahe Formation in the Yuanba area, Sichuan Basin, China[J]. Energy Geoscience, 2024, 5(3). |
| 31 | 柏明星, 张志超, 陈巧珍, 等. 二氧化碳置换法开采天然气水合物研究进展[J]. 石油与天然气地质, 2024, 45(2): 553-564. |
| BAI Mingxing, ZHANG Zhichao, CHEN Qiaozhen, et al. Advances in research on CO2 replacement for natural gas hydrate exploitation[J]. Oil & Gas Geology, 2024, 45(2): 553-564. |
| [1] | 李亚辉. 鄂尔多斯盆地大牛地气田深层中煤阶煤层气勘探实践及产能新突破[J]. 石油与天然气地质, 2024, 45(6): 1555-1566. |
| [2] | 何发岐, 雷涛, 齐荣, 徐兵威, 李晓慧, 张茹. 鄂尔多斯盆地大牛地气田深部煤层气勘探突破及其关键技术[J]. 石油与天然气地质, 2024, 45(6): 1567-1576. |
| [3] | 蔡益栋, 李倩, 肖帆, 刘大锰, 邱峰. 深部煤-岩组合体力学特征及裂隙扩展规律[J]. 石油与天然气地质, 2024, 45(6): 1686-1704. |
| [4] | 赵俊威, 孙海航, 张东伟, 王恒. 典型海相砂质临滨坝沉积演化过程及成因机制[J]. 石油与天然气地质, 2024, 45(1): 65-80. |
| [5] | 雷涛, 任广磊, 李晓慧, 冯文杰, 孙华超. 砂质辫状河心滩沉积演化规律与沉积构型特征[J]. 石油与天然气地质, 2023, 44(6): 1595-1608. |
| [6] | 李晓, 郭鹏, 胡彦智, 李士祥, 杨伟伟. 陆相页岩压裂试验与数值模拟[J]. 石油与天然气地质, 2023, 44(4): 1009-1019. |
| [7] | 刘传喜, 方文超, 秦学杰. 非常规油气藏压裂水平井动态缝网模拟方法及应用[J]. 石油与天然气地质, 2022, 43(3): 696-702. |
| [8] | 何发岐, 董昭雄. 深部煤层气资源开发潜力[J]. 石油与天然气地质, 2022, 43(2): 277-285. |
| [9] | 孙帅, 侯贵廷. 岩石力学参数影响断背斜内张裂缝发育带的概念模型[J]. 石油与天然气地质, 2020, 41(3): 455-462. |
| [10] | 徐中一, 方思冬. 边界层对致密油藏逆向渗吸的数值模拟[J]. 石油与天然气地质, 2020, 41(3): 638-646. |
| [11] | 杨晓兰. 埃及西沙漠盆地中生界烃源岩特征及剩余资源分布[J]. 石油与天然气地质, 2020, 41(2): 423-433. |
| [12] | 魏修平, 胡向阳, 李浩, 赵冀, 赵连水. 致密砂岩气藏水平井测井评价——以鄂尔多斯盆地大牛地气田X井区为例[J]. 石油与天然气地质, 2019, 40(5): 1084-1094. |
| [13] | 苏玉亮, 鲁明晶, 李萌, 张琪, 王文东, 董明哲. 页岩油藏多重孔隙介质耦合流动数值模拟[J]. 石油与天然气地质, 2019, 40(3): 645-652,660. |
| [14] | 薛衡, 黄祖熹, 王贺华, 安永生, 刘榧, 成一, 何冰, 刘卡. Ahdeb油田水平井控水完井及一体化耦合模型[J]. 石油与天然气地质, 2019, 40(2): 423-429. |
| [15] | 胡渤. 高温高盐油藏化学驱数值模拟技术进展[J]. 石油与天然气地质, 2018, 39(6): 1305-1310. |
| 阅读次数 | ||||||
|
全文 |
|
|||||
|
摘要 |
|
|||||