石油与天然气地质 ›› 2025, Vol. 46 ›› Issue (3): 926-943.doi: 10.11743/ogg20250315
薛一帆1(
), 赵海涛2, 黄亚浩1(
), 文志刚1, 刘宇坤1, 张银涛2, 乔占峰3, 罗涛4
收稿日期:2024-08-29
修回日期:2025-03-06
出版日期:2025-06-30
发布日期:2025-06-26
通讯作者:
黄亚浩
E-mail:xyf257248@163.com;hyhtr08916@163.com
第一作者简介:薛一帆(2003—),男,硕士研究生,深层油气成藏机理。E-mail:xyf257248@163.com
基金项目:
Yifan XUE1(
), Haitao ZHAO2, Yahao HUANG1(
), Zhigang WEN1, Yukun LIU1, Yintao ZHANG2, Zhanfeng QIAO3, Tao LUO4
Received:2024-08-29
Revised:2025-03-06
Online:2025-06-30
Published:2025-06-26
Contact:
Yahao HUANG
E-mail:xyf257248@163.com;hyhtr08916@163.com
摘要:
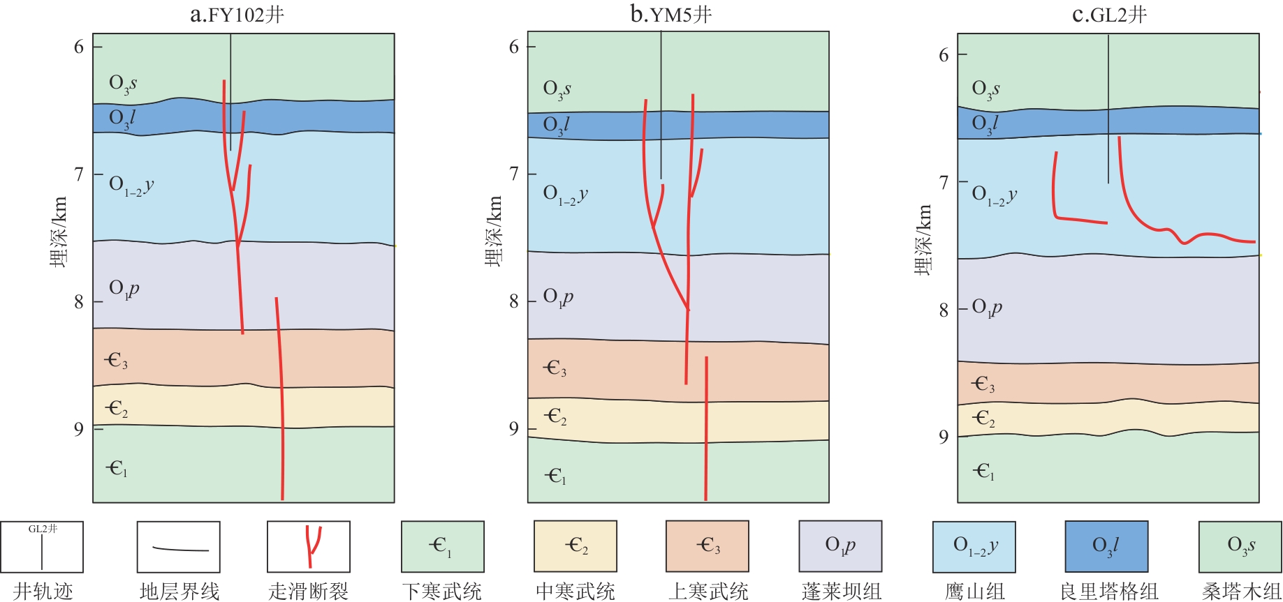
塔里木盆地深层奥陶系走滑断裂区与非走滑断裂区储层流体压力演化特征存在显著差异,目前勘探开发实践表明非断裂区具有较好的深层油气勘探开发潜力,但对该区域油气成藏和超压演化过程缺乏系统研究。基于测井响应数据和储层发育特征,运用流体包裹体古压力恢复和方解石U-Pb同位素定年,对比分析了富满油田断裂区和非断裂区油气成藏及超压演化过程。研究结果表明:①塔里木盆地非断裂区可以划分为“常压-弱超压-强超压”3个关键压力演化阶段。断裂区可以划分为“常压-弱超压-常压”3个关键压力演化阶段。②断裂区和非断裂区储层都在加里东中、晚期由于一期油气充注发育弱超压,随后断裂区碳酸盐岩储层在构造破碎作用和沿断裂输导的流体溶蚀的共同作用下,扩容形成大量孔洞和裂缝,连通的储集体使超压在沟通的断裂体系内再分配,地层压力逐渐降至正常状态。③非断裂区由于燕山早期深部油裂解气通过断裂-不整合面侧向运移至奥陶系储层,与构造挤压活动共同作用使得地层压力迅速提高至强超压,并一直延续至今。④塔里木盆地非断裂区经历了“早期成油、晚期气侵、侧向调整”的成藏演化过程。
中图分类号:
图3
塔里木盆地富满油田一间房组储集空间特征普通薄片显微镜下照片a.FY102井,埋深7 371 m,填隙物为亮晶方解石,岩片中见3条未充填裂缝及1条溶蚀缝,缝宽0.01 ~ 0.15 mm; b. FY102井,埋深7 371 m, 填隙物主要为亮晶方解石,可见半充填、未充填构造缝,缝宽0.01 ~ 0.05 mm,与粒间溶孔连通,局部灰泥凝块处发育溶蚀孔隙;c. YM5井,埋深7 218 m,填隙物为灰泥,岩石经压溶形成不规则压溶缝,缝中含泥质和沥青,不规则的构造溶蚀缝宽窄不等,范围为0.01 ~ 0.02 mm,孔洞由晶粒方解石充填;d. YM5井,埋深7 218 m,填隙物为亮晶方解石,有1条构造缝,延伸远,切割藻颗粒,呈网状分布,缝宽0.01 ~ 0.06 mm,局部灰泥凝块间聚集分布粒间溶孔和粒间孔; e. GL2井,埋深7 387 m,压溶缝呈锯齿状,充填黑色沥青,未充填构造缝沿锯齿状压溶缝伴生; f. GL2井,埋深7 387 m,藻砂屑分选磨圆较好,呈漂浮状散布,粒间充填大量的亮晶方解石,岩石胶结致密,孔隙不发育,压溶缝中含沥青; g. GL2井,埋深7 387 m,可见2期缝,早期构造缝方解石全充填,后期未充填构造缝近90°切割早期缝,缝宽0.01 ~ 0.04 mm; h. GL2井,埋深7 387 m,可见3期缝,早期压溶缝内充填泥质、黑色沥青以及方解石,后期半充填、全充填方解石构造缝切割早期压溶缝,晚期构造缝呈断续状,未充填,缝宽0.01 ~ 0.03 mm"
表2
塔里木盆地富满油田奥陶系储层油包裹体古压力模拟实验数据"
| 井号 | 荧光颜色 | 油包裹体均一温度/℃ | 气/液比/% | 伴生盐水包裹体均一温度/℃ | 捕获压力/MPa | 捕获深度/m | 压力系数 |
|---|---|---|---|---|---|---|---|
| YM5 | 绿色 | 56.4 | 9.1 | 72.4 | 31.5 | 2 635 | 1.21 |
| YM5 | 绿色 | 58.2 | 6.4 | 75.1 | 33.6 | 2 587 | 1.29 |
| YM5 | 绿色 | 56.1 | 8.9 | 74.3 | 34.5 | 2 618 | 1.33 |
| YM5 | 绿色 | 57.2 | 12.3 | 74.9 | 33.3 | 2 665 | 1.28 |
| YM5 | 绿色 | 55.4 | 4.9 | 72.8 | 33.3 | 2 579 | 1.28 |
| YM5 | 蓝白色 | 78.2 | 7.5 | 98.4 | 32.5 | 3 146 | 1.05 |
| YM5 | 蓝白色 | 76.5 | 8.2 | 97.6 | 34.0 | 3 123 | 1.10 |
| YM5 | 蓝白色 | 77.4 | 9.6 | 102.5 | 36.8 | 3 531 | 1.05 |
| YM5 | 蓝白色 | 79.3 | 5.8 | 98.3 | 32.7 | 3 125 | 1.06 |
| YM5 | 蓝白色 | 76.8 | 5.9 | 104.5 | 37.3 | 3 542 | 1.07 |
| YM5 | 蓝白色 | 74.8 | 6.4 | 97.1 | 32.8 | 3 127 | 1.06 |
| FY102 | 绿色 | 62.4 | 8.8 | 84.9 | 37.0 | 3 025 | 1.23 |
| FY102 | 绿色 | 64.4 | 9.4 | 82.8 | 38.7 | 3 018 | 1.29 |
| FY102 | 绿色 | 63.3 | 9.6 | 83.4 | 38.6 | 2 990 | 1.29 |
| FY102 | 绿色 | 66.9 | 5.7 | 85.6 | 40.1 | 2 986 | 1.34 |
| FY102 | 绿色 | 64.8 | 12.5 | 87.1 | 39.4 | 3 008 | 1.31 |
| FY102 | 蓝白色 | 75.9 | 10.5 | 98.3 | 34.4 | 3 153 | 1.11 |
| FY102 | 蓝白色 | 76.4 | 9.7 | 99.8 | 34.3 | 3 068 | 1.10 |
| FY102 | 蓝白色 | 76.3 | 6.4 | 103.6 | 37.5 | 3 128 | 1.16 |
| FY102 | 蓝白色 | 75.9 | 7.5 | 104.9 | 38.0 | 3 072 | 1.09 |
| GL2 | 绿色 | 86.4 | 6.8 | 96.8 | 42.4 | 3 523 | 1.21 |
| GL2 | 绿色 | 85.2 | 8.4 | 106.4 | 41.3 | 3 525 | 1.18 |
| GL2 | 绿色 | 87.2 | 7.5 | 108.7 | 42.5 | 3 448 | 1.25 |
| GL2 | 绿色 | 87.1 | 10.1 | 113.5 | 42.2 | 3 459 | 1.24 |
表3
塔里木盆地富满油田GL2井奥陶系储层气包裹体古压力恢复实验数据"
| 甲烷伸缩振动峰拉曼位移/cm-1 | 气包裹体密度/(g/cm3) | 伴生盐水包裹体均一温度/℃ | 捕获压力/MPa | 压力系数 |
|---|---|---|---|---|
| 2 911.03 | 0.268 4 | 133.5 | 86.79 | 1.74 |
| 2 911.02 | 0.268 9 | 133.5 | 87.14 | 1.74 |
| 2 911.01 | 0.269 4 | 133.5 | 87.50 | 1.75 |
| 2 911.03 | 0.268 4 | 133.5 | 86.79 | 1.74 |
| 2 911.05 | 0.267 4 | 133.8 | 86.18 | 1.72 |
| 2 911.05 | 0.267 4 | 133.8 | 86.18 | 1.72 |
| 2 911.12 | 0.264 0 | 133.8 | 83.75 | 1.68 |
| 2 911.05 | 0.267 4 | 133.8 | 86.18 | 1.72 |
| 2 911.06 | 0.267 0 | 133.8 | 85.83 | 1.72 |
| 2 911.09 | 0.265 5 | 135.6 | 85.40 | 1.71 |
| 2 911.10 | 0.265 0 | 135.6 | 85.06 | 1.70 |
| 2 911.08 | 0.266 0 | 135.6 | 85.75 | 1.72 |
| 2 911.08 | 0.266 0 | 135.6 | 85.75 | 1.72 |
| 2 911.07 | 0.266 5 | 135.6 | 86.10 | 1.72 |
| 1 | 王清华, 杨海军, 汪如军, 等. 塔里木盆地超深层走滑断裂断控大油气田的勘探发现与技术创新[J]. 中国石油勘探, 2021, 26(4): 58-71. |
| WANG Qinghua, YANG Haijun, WANG Rujun, et al. Discovery and exploration technology of fault-controlled large oil and gas fields of ultra-deep formation in strike slip fault zone in Tarim Basin[J]. China Petroleum Exploration, 2021, 26(4): 58-71. | |
| 2 | 田军, 杨海军, 朱永峰, 等. 塔里木盆地富满油田成藏地质条件及勘探开发关键技术[J]. 石油学报, 2021, 42(8): 971-985. |
| TIAN Jun, YANG Haijun, ZHU Yongfeng, et al. Geological conditions for hydrocarbon accumulation and key technologies for exploration and development in Fuman Oilfield, Tarim Basin[J]. Acta Petrolei Sinica, 2021, 42(8): 971-985. | |
| 3 | 王清华, 杨海军, 张银涛, 等. 塔里木盆地富满油田富东1井奥陶系重大发现及意义[J]. 中国石油勘探, 2023, 28(1): 47-58. |
| WANG Qinghua, YANG Haijun, ZHANG Yintao, et al. Great discovery and its significance in the Ordovician in Well Fudong 1 in Fuman Oilfield, Tarim Basin[J]. China Petroleum Exploration, 2023, 28(1): 47-58. | |
| 4 | LEI Qun, XU Yun, YANG Zhanwei, et al. Progress and development directions of stimulation techniques for ultra-deep oil and gas reservoirs[J]. Petroleum Exploration and Development, 2021, 48(1): 221-231. |
| 5 | 何登发, 贾承造, 赵文智, 等. 中国超深层油气勘探领域研究进展与关键问题[J]. 石油勘探与开发, 2023, 50(6): 1162-1172. |
| HE Dengfa, JIA Chengzao, ZHAO Wenzhi, et al. Research progress and key issues of ultra-deep oil and gas exploration in China[J]. Petroleum Exploration and Development, 2023, 50(6): 1162-1172. | |
| 6 | 邓尚, 邱华标, 刘大卫, 等. 克拉通内走滑断裂成因与控藏机制研究进展——以塔里木盆地北部为例[J]. 石油与天然气地质, 2024, 45(5): 1211-1225. |
| DENG Shang, QIU Huabiao, LIU Dawei, et al. Advances in research on the genetic mechanisms of intracratonic strike-slip fault system and their control on hydrocarbon accumulation: A case study of the northern Tarim Basin[J]. Oil & Gas Geology, 2024, 45(5): 1211-1225. | |
| 7 | 张红波, 周雨双, 沙旭光, 等. 塔里木盆地顺北5号走滑断裂隆起段发育特征与演化机制[J]. 石油与天然气地质, 2023, 44(2): 321-334. |
| ZHANG Hongbo, ZHOU Yushuang, SHA Xuguang, et al. Development characteristics and evolution mechanism of the uplifted segment of the No.5 strike-slip fault zone in Shunbei area, Tarim Basin[J]. Oil & Gas Geology, 2023, 44(2): 321-334. | |
| 8 | YUAN Feifei, TIAN Jinqiang, HAO Fang, et al. Fault characterization and its significance on hydrocarbon migration and accumulation of western Tazhong Uplift, Tarim Basin: Insight from seismic, geochemistry, fluid inclusion and in situ U-Pb dating[J]. Marine and Petroleum Geology, 2024, 170: 107137. |
| 9 | LI Fenglei, LIN Chengyan, REN Lihua, et al. Fault system dynamics and their impact on ordovician carbonate karst reservoirs: Outcrop analogs and 3D seismic analysis in the Tabei region, Tarim Basin, NW China[J]. Marine and Petroleum Geology, 2024, 167: 106923. |
| 10 | BIAN Qing, DENG Shang, LIN Huixi, et al. Strike-slip salt tectonics in the Shuntuoguole Low Uplift, Tarim Basin, and the significance to petroleum exploration[J]. Marine and Petroleum Geology, 2022, 139: 105600. |
| 11 | QIU Huabiao, DENG Shang, ZHANG Jibiao, et al. The evolution of a strike-slip fault network in the Guchengxu high, Tarim Basin (NW China)[J]. Marine and Petroleum Geology, 2022, 140: 105655. |
| 12 | 邱楠生, 刘雯, 徐秋晨, 等. 深层-古老海相层系温压场与油气成藏[J]. 地球科学, 2018, 43(10): 3511-3525. |
| QIU Nansheng, LIU Wen, XU Qiuchen, et al. Temperature-Pressure field and hydrocarbon accumulation in Deep-Ancient marine strata[J]. Earth Science, 2018, 43(10): 3511-3525. | |
| 13 | 曾帅, 邱楠生, 李慧莉, 等. 塔里木盆地顺托果勒地区奥陶系碳酸盐岩超压差异分布研究[J]. 地学前缘, 2023, 30(6): 305-315. |
| ZENG Shuai, QIU Nansheng, LI Huili, et al. Differential overpressure distribution in Ordovician carbonates, Shuntuoguole area, Tarim Basin[J]. Earth Science Frontiers, 2023, 30(6): 305-315. | |
| 14 | 段永贤, 宋金鹏, 郇志鹏, 等. 塔北、塔中奥陶系碳酸盐岩异常高压形成、保存与分布[J]. 新疆石油地质, 2023, 44(4): 421-428. |
| DUAN Yongxian, SONG Jinpeng, XUN Zhipeng, et al. Formation, preservation and distribution of abnormally high pressure in Ordovician carbonate rocks in northern and central Tarim Basin[J]. Xinjiang Petroleum Geology, 2023, 44(4): 421-428. | |
| 15 | 黄亚浩, 汪如军, 文志刚, 等. 塔里木盆地富满油田深层—超深层油气成藏过程[J]. 石油学报, 2024, 45(6): 947-960. |
| HUANG Yahao, WANG Rujun, WEN Zhigang, et al. Hydrocarbon accumulation process of the deep to ultra deep reservoirs in Fuman Oilfield, Tarim Basin[J]. Acta Petrolei Sinica, 2024, 45(6): 947-960. | |
| 16 | 王斌, 赵永强, 何生, 等. 塔里木盆地顺北5号断裂带北段奥陶系油气成藏期次及其控制因素[J]. 石油与天然气地质, 2020, 41(5): 965-974. |
| WANG Bin, ZHAO Yongqiang, HE Sheng, et al. Hydrocarbon accumulation stages and their controlling factors in the northern Ordovician Shunbei 5 fault zone, Tarim Basin[J]. Oil & Gas Geology, 2020, 41(5): 965-974. | |
| 17 | 韩强, 云露, 蒋华山, 等. 塔里木盆地顺北地区奥陶系油气充注过程分析[J]. 吉林大学学报(地球科学版), 2021, 51(3): 645-658. |
| HAN Qiang, YUN Lu, JIANG Huashan, et al. Marine oil and gas filling and accumulation process in the north of Shuntuoguole area in northern Tarim Basin[J]. Journal of Jilin University (Earth Science Edition), 2021, 51(3): 645-658. | |
| 18 | BECKER S P, EICHHUBL P, LAUBACH S E, et al. A 48 m.y. history of fracture opening, temperature, and fluid pressure: Cretaceous Travis Peak Formation, East Texas basin[J]. GSA Bulletin, 2010, 122(7/8): 1081-1093. |
| 19 | KARLSEN D A, NEDKVITNE T, LARTER S R, et al. Hydrocarbon composition of authigenic inclusions: Application to elucidation of petroleum reservoir filling history[J]. Geochimica et Cosmochimica Acta, 1993, 57(15): 3641-3659. |
| 20 | FALL A, EICHHUBL P, CUMELLA S P, et al. Testing the basin-centered gas accumulation model using fluid inclusion observations: Southern Piceance Basin, Colorado[J]. AAPG Bulletin, 2012, 96(12): 2297-2318. |
| 21 | FALL A, EICHHUBL P, BODNAR R J, et al. Natural hydraulic fracturing of tight-gas sandstone reservoirs, Piceance Basin, Colorado[J]. GSA Bulletin, 2015, 127(1/2): 61-75. |
| 22 | 席斌斌, 蒋宏, 许锦, 等. 基于包裹体PVTx数值模拟恢复油藏古温压——存在的问题、对策及应用实例[J]. 石油实验地质, 2021, 43(5): 886-895. |
| XI Binbin, JIANG Hong, XU Jin, et al. Reconstruction of paleo-temperature and pressure of oil reservoirs based on PVTx simulation: problems, strategies and case studies[J]. Petroleum Geology and Experiment, 2021, 43(5): 886-895. | |
| 23 | 苏奥, 陈红汉, 雷川, 等. 流体包裹体PVTx模拟研究油气充注期次和古压力恢复: 以西湖凹陷平湖构造带为例[J]. 地质科技情报, 2014, 33(6): 137-142. |
| SU Ao, CHEN Honghan, LEI Chuan, et al. Application of PVTx simulation of fluid inclusions to estimate petroleum charge stages and restore pressure: Using Pinghu structural belt in Xihu Depression as an example[J]. Geological Science and Technology Information, 2014, 33(6): 137-142. | |
| 24 | 尚培, 陈红汉, 鲁子野, 等. 塔里木盆地玉北地区奥陶系成岩流体演化与油气成藏时期的耦合关系[J]. 地球科学, 2020, 45(2): 569-582. |
| SHANG Pei, CHEN Honghan, LU Ziye, et al. The coupling relationship between diagenetic fluid evolution and hydrocarbon accumulation in the Ordovician of Yubei area, Tarim Basin[J]. Earth Science, 2020, 45(2): 569-582. | |
| 25 | HUANG Yahao, HE Sheng, GUO Xiaowen, et al. Pressure-temperature-time-composition (P-T-t-x) of paleo-fluid in Permian organic-rich shale of Lower Yangtze Platform, China: Insights from fluid inclusions in fracture cements[J]. Marine and Petroleum Geology, 2021, 126: 104936. |
| 26 | 谭然. 柴达木盆地马海东地区古近系油气成藏期次及调整改造研究[D]. 荆州: 长江大学, 2023. |
| TAN Ran. Paleogene oil and gas accumulation stages and reconstruction in Mahaidong area, Qaidam Basin[D]. Jingzhou: Yangtz University, 2023. | |
| 27 | ZOZULYA A A, DIDDAMS S A, CLEMENT T S. Investigations of nonlinear femtosecond pulse propagation with the inclusion of Raman, shock, and third-order phase effects[J]. Physical Review A, 1998, 58(4): 3303-3310. |
| 28 | Wenjia OU, GUO Huirong, LU Wanjun, et al. A re-evaluation of the effects of temperature and NaCl concentration on quantitative Raman spectroscopic measurements of dissolved CH4 in NaCl aqueous solutions: Application to fluid inclusion analysis[J]. Chemical Geology, 2015, 417: 1-10. |
| 29 | HUANG Yahao, TARANTOLA A, LU Wanjun, et al. CH4 accumulation characteristics and relationship with deep CO2 fluid in Lishui Sag, East China Sea Basin[J]. Applied Geochemistry, 2020, 115: 104563. |
| 30 | 田军, 王清华, 杨海军, 等. 塔里木盆地油气勘探历程与启示[J]. 新疆石油地质, 2021, 42(3): 272-282. |
| TIAN Jun, WANG Qinghua, YANG Haijun, et al. Petroleum exploration history and enlightenment in Tarim Basin[J]. Xinjiang Petroleum Geology, 2021, 42(3): 272-282. | |
| 31 | 安海亭, 李海银, 王建忠, 等. 塔北地区构造和演化特征及其对油气成藏的控制[J]. 大地构造与成矿学, 2009, 33(1): 142-147. |
| AN Haiting, LI Haiyin, WANG Jianzhong, et al. Tectonic evolution and its controlling on oil and gas accumulation in the northern Tarim Basin[J]. Geotectonica et Metallogenia, 2009, 33(1): 142-147. | |
| 32 | 何登发, 周新源, 杨海军, 等. 塔里木盆地克拉通内古隆起的成因机制与构造类型[J]. 地学前缘, 2008, 15(2): 207-221. |
| HE Dengfa, ZHOU Xinyuan, YANG Haijun, et al. Formation mechanism and tectonic types of intracratonic paleo-uplifts in the Tarim Basin[J]. Earth Science Frontiers, 2008, 15(2): 207-221. | |
| 33 | 邬光辉, 陈鑫, 马兵山, 等. 塔里木盆地晚新元古代-早古生代板块构造环境及其构造-沉积响应[J]. 岩石学报, 2021, 37(8): 2431-2441. |
| WU Guanghui, CHEN Xin, MA Bingshan, et al. The tectonic environments of the Late Neoproterozoic-Early Paleozoic and its tectono-sedimentary response in the Tarim Basin[J]. Acta Petrologica Sinica, 2021, 37(8): 2431-2441. | |
| 34 | 宋兴国, 陈石, 谢舟, 等. 塔里木盆地富满油田东部走滑断裂发育特征与油气成藏[J]. 石油与天然气地质, 2023, 44(2): 335-349. |
| SONG Xingguo, CHEN Shi, XIE Zhou, et al. Strike-slip faults and hydrocarbon accumulation in the eastern part of Fuman Oilfield, Tarim Basin[J]. Oil & Gas Geology, 2023, 44(2): 335-349. | |
| 35 | 宋兴国, 陈石, 谢舟, 等. 塔里木盆地富满油田东部走滑断裂发育特征与油气成藏[J]. 石油与天然气地质, 2023, 44(2): 335-349. |
| SONG Xingguo, CHEN Shi, XIE Zhou, et al. Strike-slip faults and hydrocarbon accumulation in the eastern part of Fuman Oilfield, Tarim Basin[J]. Oil & Gas Geology, 2023, 44(2): 335-349. | |
| 36 | 邓兴梁, 闫婷, 张银涛, 等. 走滑断裂断控碳酸盐岩油气藏的特征与井位部署思路——以塔里木盆地为例[J]. 天然气工业, 2021, 41(3): 21-29. |
| DENG Xingliang, YAN Ting, ZHANG Yintao, et al. Characteristics and well location deployment ideas of strike-slip fault controlled carbonate oil and gas reservoirs: A case study of the Tarim Basin[J]. Natural Gas Industry, 2021, 41(3): 21-29. | |
| 37 | WANG Shen, LIU Hua, DENG Xingliang, et al. Genetic mechanism of multiphase states of Ordovician oil and gas reservoirs in Fuman Oilfield, Tarim Basin, China[J]. Marine and Petroleum Geology, 2023, 157: 106449. |
| 38 | 李凤磊, 林承焰, 任丽华, 等. 基于地质成因的走滑断裂带岩溶缝洞型储层连通性与剩余油分布模式——以塔里木盆地为例[J]. 石油与天然气地质, 2025, 46(1): 315-334. |
| LI Fenglei, LIN Chengyan, REN Lihua, et al. Connectivity and residual oil distribution patterns of fractured-vuggy karst reservoirs in strike-slip fault zone: A case study of the Tarim Basin[J]. Oil & Gas Geology, 2025, 46(1): 315-334. | |
| 39 | 韩鹏远, 丁文龙, 杨德彬, 等. 塔里木盆地塔河油田S80走滑断裂发育特征及其对奥陶系储层的控制作用[J]. 石油与天然气地质, 2024, 45(3): 770-786. |
| HAN Pengyuan, DING Wenlong, YANG Debin, et al. Characteristics of the S80 strike-slip fault zone and its controlling effects on the Ordovician reservoirs in the Tahe Oilfield, Tarim Basin[J]. Oil & Gas Geology, 2024, 45(3): 770-786. | |
| 40 | 淡永, 梁彬, 张庆玉, 等. 塔北哈拉哈塘地区奥陶系碳酸盐岩浅覆盖区岩溶储层特征与形成机理[J]. 石油物探, 2015, 54(1): 90-98. |
| DAN Yong, LIANG Bin, ZHANG Qingyu, et al. Characteristics and genesis of Ordovician carbonate karst reservoir in the shallow coverage zone of Halahatang area, northern Tarim Basin[J]. Geophysical Prospecting for Petroleum, 2015, 54(1): 90-98. | |
| 41 | 杨率, 邬光辉, 朱永峰, 等. 塔里木盆地北部地区超深断控油藏关键成藏期[J]. 石油勘探与开发, 2022, 49(2): 249-261. |
| YANG Lv, WU Guanghui, ZHU Yongfeng, et al. Key oil accumulation periods of ultra-deep fault-controlled oil reservoir in northern Tarim Basin, NW China[J]. Petroleum Exploration and Development, 2022, 49(2): 249-261. | |
| 42 | 陈家旭, 王斌, 郭小文, 等. 应用方解石激光原位U-Pb同位素定年确定多旋回叠合盆地油气成藏绝对时间——以塔里木盆地塔河油田为例[J]. 石油与天然气地质, 2021, 42(6): 1365-1375. |
| CHEN Jiaxu, WANG Bin, GUO Xiaowen, et al. Application of laser in-situ U-Pb dating of calcite to determination of the absolute time of hydrocarbon accumulation in polycyclic superimposed basins: A case study on Tahe Oilfield, Tarim Basin[J]. Oil & Gas Geology, 2021, 42(6): 1365-1375. | |
| 43 | 苏奥, 陈红汉, 雷川, 等. 流体包裹体PVTx模拟研究油气充注期次和古压力恢复: 以西湖凹陷平湖构造带为例[J]. 地质科技情报, 2014, 33(6): 137-142. |
| SU Ao, CHEN Honghan, LEI Chuan, et al. Application of PVTx simulation of fluid inclusions to estimate petroleum charge stages and restore pressure: Using Pinghu structural belt in Xihu Depression as an example[J]. Geological Science and Technology Information, 2014, 33(6): 137-142. | |
| 44 | 平宏伟, 陈红汉, THIÉRY R. 石油包裹体热动力学模拟古压力改进: 饱和压力预测和体积校正[J]. 地球科学(中国地质大学学报), 2013, 38(1): 143-155. |
| PING Hongwei, CHEN Honghan, THIÉRY R. Improvement on paleopressure prediction using petroleum inclusions thermodynamic modeling: Saturaiton pressure prediction and volume calibration[J]. Earth Science-Journal of China University of Geosciences, 2013, 38(1): 143-155. | |
| 45 | SU Ao, CHEN Honghan, FENG Yuexing, et al. LA-ICP-MS U-Pb dating and geochemical characterization of oil inclusion-bearing calcite cements: Constraints on primary oil migration in lacustrine mudstone source rocks[J]. GSA Bulletin, 2022, 134(7/8): 2022-2036. |
| 46 | 高键, 李英强, 何生, 等. 鄂西宜昌地区页岩气勘探发现对MVT铅锌矿成矿的指示意义[J]. 地球科学, 2021, 46(6): 2230-2245. |
| GAO Jian, LI Yingqiang, HE Sheng, et al. Exploration discovery of shale gas and its indicative significance to mineralization of MVT lead-zinc deposit in Yichang area, west Hubei[J]. Earth Science, 2021, 46(6): 2230-2245. | |
| 47 | 高键, 何生, 易积正. 焦石坝页岩气田中高密度甲烷包裹体的发现及其意义[J]. 石油与天然气地质, 2015, 36(3): 472-480. |
| GAO Jian, HE Sheng, YI Jizheng. Discovery of high density methane inclusions in Jiaoshiba shale gas field and its significance[J]. Oil & Gas Geology, 2015, 36(3): 472-480. | |
| 48 | BURKE E A J. Raman microspectrometry of fluid inclusions[J]. Lithos, 2001, 55(1/4): 139-158. |
| 49 | LU Wanjun, CHOU Iming, BURRUSS R C, et al. A unified equation for calculating methane vapor pressures in the CH4-H2O system with measured Raman shifts[J]. Geochimica et Cosmochimica Acta, 2007, 71(16): 3969-3978. |
| 50 | DUAN Zhenhao, MØLLER N, WEARE J H. An equation of state for the CH4-CO2-H2O system: I. Pure systems from 0 to 1 000 °C and 0 to 8 000 bar[J]. Geochimica et Cosmochimica Acta, 1992, 56(7): 2605-2617. |
| 51 | BOWERS G L. Detecting high overpressure[J]. The Leading Edge, 2002, 21(2): 174-177. |
| 52 | GUO Xiaowen, LIU Keyu, JIA Chengzao, et al. Constraining tectonic compression processes by reservoir pressure evolution: Overpressure generation and evolution in the Kelasu Thrust Belt of Kuqa Foreland Basin, NW China[J]. Marine and Petroleum Geology, 2016, 72: 30-44. |
| 53 | TINGAY M R P, MORLEY C K, LAIRD A, et al. Evidence for overpressure generation by kerogen-to-gas maturation in the northern Malay Basin[J]. AAPG Bulletin, 2013, 97(4): 639-672. |
| 54 | BOWERS G L. Pore pressure estimation from velocity data: Accounting for overpressure mechanisms besides undercompaction[J]. SPE Drilling & Completion, 1995, 10(2): 89-95. |
| 55 | 赵靖舟, 李军, 徐泽阳. 沉积盆地超压成因研究进展[J]. 石油学报, 2017, 38(9): 973-998. |
| ZHAO Jingzhou, LI Jun, XU Zeyang. Advances in the origin of overpressures in sedimentary basins[J]. Acta Petrolei Sinica, 2017, 38(9): 973-998. |
| [1] | 胡伟, 徐婷, 杨阳, 康志江, 伦增珉, 李宗宇, 赵瑞明, 张文学. 超深断控凝析气藏注气提高凝析油采收率实验评价——以塔里木盆地顺北4号断裂带为例[J]. 石油与天然气地质, 2025, 46(2): 586-598. |
| [2] | 云露, 曹自成, 耿锋, 汪洋, 丁勇, 刘永立. 塔里木盆地塔北台盆区奥陶系油气分布有序性[J]. 石油与天然气地质, 2025, 46(1): 15-30. |
| [3] | 何帅, 马安来, 云露, 曹自成, 李贤庆, 黄诚, 张国松, 胡松, 王铁一, 彭威龙, 朱志立, 崔福田. 塔里木盆地顺北地区上奥陶统恰尔巴克组烃源岩有机地球化学特征及勘探意义[J]. 石油与天然气地质, 2025, 46(1): 246-260. |
| [4] | 李凤磊, 林承焰, 任丽华, 张国印, 朱永峰, 张银涛, 关宝珠. 基于地质成因的走滑断裂带岩溶缝洞型储层连通性与剩余油分布模式[J]. 石油与天然气地质, 2025, 46(1): 315-334. |
| [5] | 时保宏, 蔺嘉昊, 张涛, 王红伟, 张雷, 魏嘉怡, 李涵, 刘刚, 王蓉. 鄂尔多斯盆地西缘冲断带中段奥陶系克里摩里组高能滩隐伏构造成藏潜力[J]. 石油与天然气地质, 2025, 46(1): 78-90. |
| [6] | 吕心瑞, 孙建芳, 李红凯, 夏东领, 邬兴威, 韩科龙, 侯加根. 塔里木盆地深层碳酸盐岩缝洞型油藏精细地质建模技术[J]. 石油与天然气地质, 2024, 45(5): 1195-1210. |
| [7] | 邓尚, 邱华标, 刘大卫, 韩俊, 汝智星, 彭威龙, 卞青, 黄诚. 克拉通内走滑断裂成因与控藏机制研究进展[J]. 石油与天然气地质, 2024, 45(5): 1211-1225. |
| [8] | 乔俊程, 常少英, 曾溅辉, 曹鹏, 董科良, 王孟修, 杨冀宁, 刘亚洲, 隆辉, 安廷, 杨睿, 文林. 塔里木盆地北部富满地区超深层走滑断裂带碳酸盐岩油气差异成藏成因探讨[J]. 石油与天然气地质, 2024, 45(5): 1226-1246. |
| [9] | 王正和, 张荣虎, 岳勇, 程锦翔. 盆-山耦合控制下塔里木盆地库车坳陷上三叠统黄山街组层序地层特征[J]. 石油与天然气地质, 2024, 45(5): 1247-1258. |
| [10] | 马海陇, 蒋林, 丁文龙, 韩鹏远, 王震, 张长建, 文欢, 丁立明, 李杰. 塔里木盆地兰尕与和田河断裂带变形特征及成藏演化模式[J]. 石油与天然气地质, 2024, 45(5): 1259-1274. |
| [11] | 于洲, 周进高, 罗晓容, 李永洲, 于小伟, 谭秀成, 吴东旭. 鄂尔多斯盆地东部奥陶系马家沟组四段神木-志丹低古隆起的发现及油气勘探意义[J]. 石油与天然气地质, 2024, 45(5): 1383-1399. |
| [12] | 高永进, 尹成明, 刘丽红, 徐大融, 杨有星, 张远银, 宋泽章, 甄曼彤. 塔里木盆地西北缘寒武系肖尔布拉克组烃源岩特征[J]. 石油与天然气地质, 2024, 45(4): 1064-1078. |
| [13] | 韩鹏远, 丁文龙, 杨德彬, 张娟, 马海陇, 王生晖. 塔里木盆地塔河油田S80走滑断裂发育特征及其对奥陶系储层的控制作用[J]. 石油与天然气地质, 2024, 45(3): 770-786. |
| [14] | 张艳秋, 陈红汉, 王燮培, 王彭, 苏丹梅, 谢舟. 塔里木盆地富满油田走滑断裂带通源性评价[J]. 石油与天然气地质, 2024, 45(3): 787-800. |
| [15] | 丁文龙, 李云涛, 韩俊, 黄诚, 王来源, 孟庆修. 碳酸盐岩储层高精度构造应力场模拟与裂缝多参数分布预测方法及其应用[J]. 石油与天然气地质, 2024, 45(3): 827-851. |
| 阅读次数 | ||||||
|
全文 |
|
|||||
|
摘要 |
|
|||||