石油与天然气地质 ›› 2025, Vol. 46 ›› Issue (4): 1215-1232.doi: 10.11743/ogg20250413
陈冬霞1(
), 王翘楚1, 熊亮2, 王小娟3, 杨映涛2, 雷文智1, 张玲2, 潘珂3, 庞宏1
收稿日期:2025-04-28
修回日期:2025-07-06
出版日期:2025-08-30
发布日期:2025-09-06
第一作者简介:陈冬霞(1974—),女,教授、博士研究生导师,油气成藏机理与非常规油气。E‑mail: lindachen@cup.edu.cn。
基金项目:
Dongxia CHEN1(
), Qiaochu WANG1, Liang XIONG2, Xiaojuan WANG3, Yingtao YANG2, Wenzhi LEI1, Ling ZHANG2, Ke PAN3, Hong PANG1
Received:2025-04-28
Revised:2025-07-06
Online:2025-08-30
Published:2025-09-06
摘要:
基于全油气系统理论,系统揭示了川西—川中地区陆相层系常规和非常规储层的差异特征及其对油气成藏的控制机制。通过岩心观察、薄片鉴定、压汞和核磁共振测试以及扫描电镜分析等手段,系统揭示了全油气系统储层特征与变化规律以及相对优质储层成因机制,并针对不同储层选取了相应的分级、分类评价参数,建立评价标准。结果表明:①川西—川中地区陆相层系全油气系统常规与非常规储层呈现空间叠置分布格局。在浮力成藏下限之上的中浅层流体自由活动性强,沉积相和流体联合控制常规-低渗优质储层;中深层致密砂岩发育多期河道叠置体、毛细管阻力作用增强,强烈的构造挤压背景下裂缝发育,孔隙型、裂缝型和孔隙-裂缝型等多种储层受岩相、流体和断层等复合控制;深层“纹层型”页岩储层整体上以纳米级孔隙为主,在以强超压和扩散力为主要特征的流体动力场内,储层发育明显受控于岩相组合、有机质丰度和超压系统的联合作用。②中浅层常规-低渗储层分级、分类评价主要考虑沉积-成岩相和孔隙类型,所划分的4类储层中,Ⅰ类和Ⅱ类优质储层主要发育于三角洲平原-前缘相带,中-强溶蚀改造是关键成因;中深层致密砂岩储层分级、分类评价则主要考虑孔隙-裂缝、岩相及孔隙结构,所划分的4类储层中,Ⅰ类和Ⅱ类孔隙型优质储层、以块状和平行层理中粗砂岩相为主;中深层侏罗系自流井组大安寨段页岩综合考虑储层厚度、岩相组合、储层物性、有机质富集程度、脆性矿物含量和可动油体积占比等因素,所划分的4类储层中,Ⅰ类和Ⅱ类相对优质储层以页岩夹介壳层和纯页岩为主。
中图分类号:
图5
川西—川中地区陆相层序常规与非常规储层孔隙镜下特征照片(铸体薄片,单偏光)a.岩屑粒内溶孔,灰白色中-粗粒岩屑石英砂岩,埋深4 930.40 m, T3x2,新5井;b. 穿粒缝,灰白色中粒岩屑石英砂岩,埋深4 722.45 m, T3x2,新856井;c.钙屑粒间溶孔,灰白色中-粗粒钙屑砂岩,埋深3 768.09 m,T3x4,丰谷21井;d. 岩屑溶孔,灰色中-粗粒岩屑长石砂岩,埋深1 929.12 m, J2s,简探1井;e. 长石粒内溶蚀孔,灰色中粒岩屑长石砂岩,埋深2 425.00 m,J2s, 中江10井;f. 剩余粒间孔,灰色中粒岩屑长石砂岩,埋深1 625.50 m,J3p,马井19井"
表2
川中地区大安寨段页岩岩相-岩性特征及孔隙结构与有机质富集参数"
| 岩性组合 | 孔径/μm | 平均孔径/μm | 孔隙体积/cm3 | 主要孔隙类型 | 孔隙度频率分布直方图 | 渗透率频率分布直方图 | TOC/% |
|---|---|---|---|---|---|---|---|
| A (块状介壳灰岩) | 0.001 77 ~ 418.0 | 14.3 | 0.109 | 晶间微孔、粒间及粒内溶孔 | ![]() | ![]() | |
| B (页岩与介壳层互层) | 0.001 87 ~ 420.0 | 22.5 | 0.188 | 晶间微孔、粒间及粒内溶孔,少量黏土矿物微孔 | ![]() | ![]() | |
| C (页岩夹介壳层) | 0.001 79 ~ 420.0 | 26.4 | 0.437 | 溶蚀孔、黏土矿物晶间孔、有机质孔及微裂缝,少量粒间及粒内溶孔 | ![]() | ![]() | |
| D (纯页岩) | 0.001 83 ~ 417.0 | 12.6 | 0.171 | 溶蚀孔、黏土矿物晶间孔、有机质孔及微裂缝 | ![]() | ![]() |
表3
川西—川中地区中深层致密砂岩储层质量分级评价标准"
| 储层类型 | 裂缝型 | 孔隙-裂缝型 | 裂缝-孔隙型 | 孔隙型 | ||||
|---|---|---|---|---|---|---|---|---|
| 孔隙型Ⅰ类 | 孔隙型Ⅱ类 | 孔隙型Ⅲ类 | 孔隙型Ⅳ类 (非储层) | |||||
| 物性特征 | 孔隙度/% | 0 ~ 3.00 | 3.00 ~ 5.00 | > 5.00 | > 5.00 | 3.00 ~ 5.00 | > 3.00 | < 3.00 |
| 渗透率/(10-3 μm2) | > 0.030 | > 1.000 | > 1.000 | 0.100 ~ 1.000 | 0.100 ~ 1.000 | 0.030 ~ 0.100 | < 0.030 | |
| 孔隙结构特征 | 孔隙类型 | 储集空间及渗流通道,主要为张开裂缝 | 孔隙为主要储集空间,裂缝为主要渗流通道 | 主要储集空间为孔隙,渗流通道为裂缝及喉道 | 以原生粒间孔隙、粒间溶孔为主、粒内溶孔 | 粒内溶孔、粒间孔均较发育 | 粒内溶孔为主,存在大量微孔隙群 | 以微孔隙群为主 |
| 喉道类型 | 片状喉道 | 片状喉道 | 片状喉道 | 管束状喉道 | ||||
孔喉拓扑 结构类型 | — | — | — | 粒间孔-片状喉道 | 粒间孔-粒内孔-片状喉道 | 粒内孔-微孔隙群-片状喉道 | 微孔隙群-管束状状喉道 | |
| 主要岩相类型 | 块状/平行层理中粗砂岩相 | 千层饼/平行层理中粗砂岩 | 千层饼/平行层理中粗砂岩 | 块状/斜层理中粗砂岩相 | 含碳屑中粗砂岩块状/斜层理细砂岩相 | 块状/斜层理细砂岩相 | 波状层理粉砂钙质胶结块状中粗砂岩 | |
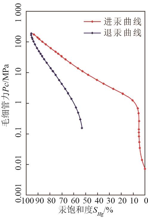
高压压汞曲线 (毛细管力曲线) | — | — | — | ![]() | ![]() | ![]() | ![]() | |
镜下特征照片 (铸体薄片) | ![]() | ![]() | ![]() | ![]() | ![]() | ![]() | ![]() | |
| 孔隙结构模型 | — | — | — | ![]() | ![]() | ![]() | ![]() | |
表4
川西—川中地区中浅层常规储层质量分级评价标准"
| 储层类型 | 岩石类型 | 沉积相 | 成岩相 | 构造变形强弱 | 孔隙类型 | 孔隙度/% | 渗透率/(10-3 μm2) | |
|---|---|---|---|---|---|---|---|---|
| Ⅰ | 岩屑长石砂岩、长石岩屑砂岩、岩屑砂 岩、长石砂岩 | 三角洲前缘 | 强溶蚀 | 弱-中等 | 铸模孔、剩余粒间孔,超大溶孔 | >12.00 | >1.000 | |
| Ⅱ | Ⅱ1 | 三角洲平原、三角洲前缘 | 胶结、中溶蚀 | 弱 | 剩余粒间孔、粒间溶孔、粒内溶孔 | 8.00 ~ 12.00 | 0.500 ~ 1.000 | |
| Ⅱ2 | 三角洲平原、三角洲前缘 | 压实、中溶蚀 | 弱-中等 | |||||
| Ⅲ | Ⅲ1 | 岩屑长石砂岩、长石岩屑砂岩、岩屑砂岩、长石砂岩 | 三角洲平原、三角洲前缘 | 压实、弱溶蚀 | 中等-强 | 剩余粒间孔、粒内溶孔 | 5.00 ~ 8.00 | 0.100 ~ 0.500 |
| Ⅲ2 | 三角洲平原、三角洲前缘 | 胶结、弱溶蚀 | 中等-强 | |||||
| Ⅳ | 岩屑砂岩、粗粉砂岩,泥岩 | 湖泊 | 中-强压实 | 弱 | 贴粒缝、晶间孔 | < 5.00 | < 0.100 | |
| 冲积扇、河流、三角洲平原 | 强胶结 | 强 | ||||||
表5
川中地区大安寨段页岩储层质量分级评价标准"
| 储层类型 | 储层厚度/m | 岩性组合及其剖面特征 | 有效孔隙度/% | 渗透率/(10-3 μm2) | 含水饱和度/% | TOC/% | 脆性矿物含量/% | 可动油体积占比/% | |
|---|---|---|---|---|---|---|---|---|---|
| Ⅰ | > 20 | C (页岩夹介壳层) | ![]() | > 5.00 | > 0.100 | < 60 | > 1.5 | > 70 | > 1.5 |
| Ⅱ | D (纯页岩) | ![]() | 3.00 ~ 6.00 | 0.010 ~ 0.100 | 60 ~ 65 | > 1.5 | > 70 | > 1.5 | |
| Ⅲ | > 15 | B (页岩与介壳层互层) | ![]() | 2.00 ~ 5.00 | 0.010 ~ 0.100 | 60 ~ 65 | 1.0 ~ 1.5 | < 70 | 1.0 ~ 1.5 |
| Ⅳ | > 10 | A (块状介壳灰岩) | ![]() | < 2.00 | < 0.010 | > 65 | < 1.0 | — | < 1.0 |
| [1] | 贾承造. 论非常规油气对经典石油天然气地质学理论的突破及意义[J]. 石油勘探与开发, 2017, 44(1): 1-11. |
| JIA Chengzao. Breakthrough and significance of unconventional oil and gas to classical petroleum geological theory[J]. Petroleum Exploration and Development, 2017, 44(1): 1-11. | |
| [2] | 贾承造, 庞雄奇, 宋岩. 全油气系统理论基本原理[J]. 石油勘探与开发, 2024, 51(4): 679-691. |
| JIA Chengzao, PANG Xiongqi, SONG Yan. Basic principles of the whole petroleum system[J]. Petroleum Exploration and Development, 2024, 51(4): 679-691. | |
| [3] | 支东明, 谢安, 杨帆, 等. 准噶尔盆地东部二叠系富烃凹陷全油气系统勘探前景[J]. 地质力学学报, 2024, 30(5): 781-794. |
| ZHI Dongming, XIE An, YANG Fan, et al. Exploration prospects of the whole oil and gas system in the Permian hydrocarbon depressions in the eastern Junggar Basin[J]. Journal of Geomechanics, 2024, 30(5): 781-794. | |
| [4] | 支东明, 李建忠, 杨帆, 等. 吐哈盆地台北凹陷侏罗系煤系全油气系统特征[J]. 石油勘探与开发, 2024, 51(3): 453-466. |
| ZHI Dongming, LI Jianzhong, YANG Fan, et al. Whole petroleum system in Jurassic coal measures of Taibei Sag in Tuha Basin, NW China[J]. Petroleum Exploration and Development, 2024, 51(3): 453-466. | |
| [5] | 刘国勇, 吴松涛, 伍坤宇, 等. 柴达木盆地西部坳陷古近系全油气系统特征与油气成藏模式[J]. 石油勘探与开发, 2024, 51(5): 951-961. |
| LIU Guoyong, WU Songtao, WU Kunyu, et al. Characteristics and hydrocarbon accumulation model of Paleogene whole petroleum system in western depression of Qaidam Basin, NW China[J]. Petroleum Exploration and Development, 2024, 51(5): 951-961. | |
| [6] | 姜福杰, 贾承造, 庞雄奇, 等. 鄂尔多斯盆地上古生界全油气系统成藏特征与天然气富集地质模式[J]. 石油勘探与开发, 2023, 50(2): 250-261. |
| JIANG Fujie, JIA Chengzao, PANG Xiongqi, et al. Upper Paleozoic total petroleum system and geological model of natural gas enrichment in Ordos Basin, NW China[J]. Petroleum Exploration and Development, 2023, 50(2): 250-261. | |
| [7] | 郭旭升, 黄仁春, 张殿伟, 等. 四川盆地海相碳酸盐岩全油气系统成藏特征与有序分布规律[J]. 石油勘探与开发, 2024, 51(4): 743-758. |
| GUO Xusheng, HUANG Renchun, ZHANG Dianwei, et al. Hydrocarbon accumulation and orderly distribution of whole petroleum system in marine carbonate rocks of Sichuan Basin, SW China[J]. Petroleum Exploration and Development, 2024, 51(4): 743-758. | |
| [8] | 白雪峰, 陆加敏, 李军辉, 等. 松辽盆地北部全油气系统成藏模式与勘探潜力[J]. 大庆石油地质与开发, 2024, 43(3): 49-61. |
| BAI Xuefeng, LU Jiamin, LI Junhui, et al. Hydrocarbon accumulation patterns and exploration potential of whole petroleum systems in northern Songliao Basin[J]. Petroleum Geology & Oilfield Development in Daqing, 2024, 43(3): 49-61. | |
| [9] | 文龙, 张本健, 金值民, 等. 四川盆地陆相全油气系统成藏序列与勘探领域[J]. 石油勘探与开发, 2024, 51(5): 997-1007. |
| WEN Long, ZHANG Benjian, JIN Zhimin, et al. Accumulation sequence and exploration domain of continental whole petroleum system in Sichuan Basin, SW China[J]. Petroleum Exploration and Development, 2024, 51(5): 997-1007. | |
| [10] | 庞雄奇, 贾承造, 宋岩, 等. 全油气系统定量评价: 方法原理与实际应用[J]. 石油学报, 2022, 43(6): 727-759. |
| PANG Xiongqi, JIA Chengzao, SONG Yan, et al. Quantitative evaluation of whole petroleum system: Principle and application[J]. Acta Petrolei Sinica, 2022, 43(6): 727-759. | |
| [11] | 宋岩, 贾承造, 姜林, 等. 全油气系统内涵与研究思路[J]. 石油勘探与开发, 2024, 51(6): 1199-1210, 1226. |
| SONG Yan, JIA Chengzao, JIANG Lin, et al. Connotation and research strategy of the whole petroleum system[J]. Petroleum Exploration and Development, 2024, 51(6): 1199-1210, 1226. | |
| [12] | 刘树根, 邓宾, 孙玮, 等. 四川盆地: 周缘活动主控下形成的叠合盆地[J]. 地质科学, 2018, 53(1): 308-326. |
| LIU Shugen, DENG Bin, SUN Wei, et al. Sichuan Basin: A superimposed sedimentary basin mainly controlled by its peripheric tectonics[J]. Chinese Journal of Geology, 2018, 53(1): 308-326. | |
| [13] | LI Shuangjian, SUN Wei, LI Yingqiang, et al. Hydrocarbon Accumulation Conditions and Exploration Targets of the Sinian Dengying Formation in the Southeastern Sichuan Basin[J]. Energy Geoscience, 2023c, 4(3): 100154. |
| [14] | 刘君龙, 纪友亮, 杨克明, 等. 川西须家河组前陆盆地构造层序及沉积充填响应特征[J]. 中国石油大学学报(自然科学版), 2015, 39(6): 11-23. |
| LIU Junlong, JI Youliang, YANG Keming, et al. Tectono-stratigraphy and sedimentary infill characteristics of Xujiahe Formation in western Sichuan foreland basin[J]. Journal of China University of Petroleum (Edition of Natural Science), 2015, 39(6): 11-23. | |
| [15] | 郭旭升, 马晓潇, 黎茂稳, 等. 陆相页岩油富集机理探讨[J]. 石油与天然气地质, 2023, 44(6): 1333-1349. |
| GUO Xusheng, MA Xiaoxiao, LI Maowen, et al. Mechanisms for lacustrine shale oil enrichment in Chinese sedimentary basins[J]. Oil & Gas Geology, 2023, 44(6): 1333-1349. | |
| [16] | WANG Hongyan, SHI Zhensheng, YANG Xi, et al. A Model for Predicting Marine Shale Gas Sweet Spots Based on Relative Sea-Level Changes and Its Application[J]. Energy Geoscience, 2025b, 6(2): 100392. |
| [17] | CHEN Ya’na, YANG Kai, WU Wei, et al. Favorable Lithofacies and Pore Characteristics of the Permian Longtan Formation Shale in the Southern Sichuan Basin[J]. Energy Geoscience, 2023b, 4(3): 100193. |
| [18] | 杨跃明, 王小娟, 陈双玲, 等. 四川盆地中部地区侏罗系沙溪庙组沉积体系演化及砂体发育特征[J]. 天然气工业, 2022, 42(1): 12-24. |
| YANG Yueming, WANG Xiaojuan, CHEN Shuangling, et al. Sedimentary system evolution and sandbody development characteristics of Jurassic Shaximiao Formation in the central Sichuan Basin[J]. Natural Gas Industry, 2022, 42(1): 12-24. | |
| [19] | 潘辉, 蒋裕强, 朱讯, 等. 河流相致密砂岩气地质甜点评价——以四川盆地川中地区侏罗系沙溪庙组二段1亚段为例[J]. 石油与天然气地质, 2024, 45(2): 471-485. |
| PAN Hui, JIANG Yuqiang, ZHU Xun, et al. Evaluation of geological sweet spots in fluvial tight sandstone gas: A case study of the first submember of the second member of the Jurassic Shaximiao Formation, central Sichuan Basin[J]. Oil & Gas Geology, 2024, 45(2): 471-485. | |
| [20] | 王小娟, 潘珂, 曹正林, 等. 四川盆地天府气田沙溪庙组中浅层天然气成藏特征与差异富集规律[J]. 中国石油大学学报(自然科学版), 2024, 48(6): 25-36. |
| WANG Xiaojuan, PAN Ke, CAO Zhenglin, et al. Reservoir-forming characteristics and differential enrichment law of middle-shallow natural gas of Shaximiao Formation in Tianfu gas field in Sichuan Basin[J]. Journal of China University of Petroleum (Edition of Natural Science), 2024, 48(6): 25-36. | |
| [21] | 赵圣贤, 刘勇, 李博, 等. 四川盆地泸州区块五峰组-龙马溪组页岩气储层孔隙连通性特征及模式[J]. 石油与天然气地质, 2024, 45(6): 1720-1735. |
| ZHAO Shengxian, LIU Yong, LI Bo, et al. Characteristics and patterns of the pore connectivity in shale gas reservoirs in the Wufeng-Longmaxi formations, Luzhou block, Sichuan Basin[J]. Oil & Gas Geology, 2024, 45(6): 1720-1735. | |
| [22] | 刘子驿, 陈冬霞, 雷文智, 等. 川中侏罗系大安寨二亚段页岩油富集有利岩性组合[J]. 石油实验地质, 2024, 46(6): 1240-1252. |
| LIU Ziyi, CHEN Dongxia, LEI Wenzhi, et al. Favorable lithologic combinations for shale oil enrichment in the second submember of Da’anzhai Member, Jurassic, central Sichuan Basin[J]. Petroleum Geology and Experiment, 2024, 46(6): 1240-1252. | |
| [23] | 熊亮, 董晓霞, 王同, 等. 川北地区下侏罗统大安寨段陆相页岩油勘探方向再认识[J]. 石油实验地质, 2024, 46(5): 989-1001. |
| XIONG Liang, DONG Xiaoxia, WANG Tong, et al. Reassessment of exploration directions of continental shale oil in Lower Jurassic Da’anzhai Member in northern Sichuan Basin[J]. Petroleum Geology & Experiment, 2024, 46(5): 989-1000. | |
| [24] | 刘忠宝. 四川盆地自流井组页岩油气地质特征及富集规律[J]. 世界石油工业, 2024, 31(3): 35-47. |
| LIU Zhongbao. Geological characteristics and enrichment regular patterns of shale oil and gas at Ziliujing Formation in Sichuan Basin[J]. World Petroleum Industry, 2024, 31(3): 35-47. | |
| [25] | 蒋奇君, 李勇, 肖正录, 等. 川中地区大安寨段页岩热演化史及油气地质意义[J]. 新疆石油地质, 2024, 45(3): 262-270. |
| JIANG Qijun, LI Yong, XIAO Zhenglu, et al. Thermal evolution history of shale in Da’anzhai member and its petroleum geological significance in central Sichuan Basin[J]. Xinjiang Petroleum Geology, 2024, 45(3): 262-270. | |
| [26] | PANG Xiongqi. Quantitative evaluation of the whole petroleum system: Hydrocarbon thresholds and their application[M]. Singapore: Springer, 2023. |
| [27] | 金之钧, 张谦, 朱如凯, 等. 中国陆相页岩油分类及其意义[J]. 石油与天然气地质, 2023, 44(4): 801-819. |
| JIN Zhijun, ZHANG Qian, ZHU Rukai, et al. Classification of lacustrine shale oil reservoirs in China and its significance[J]. Oil & Gas Geology, 2023, 44(4): 801-819. | |
| [28] | 李阳, 赵清民, 吕琦, 等. 中国陆相页岩油开发评价技术与实践[J]. 石油勘探与开发, 2022, 49(5): 955-964. |
| LI Yang, ZHAO Qingmin, Qi LYU, et al. Evaluation technology and practice of continental shale oil development in China[J]. Petroleum Exploration and Development, 2022, 49(5): 955-964. | |
| [29] | 刘惠民. 济阳坳陷古近系页岩油地质特殊性及勘探实践——以沙河街组四段上亚段—沙河街组三段下亚段为例[J]. 石油学报, 2022, 43(5): 581-594. |
| LIU Huimin. Geological particularity and exploration practice of Paleogene shale oil in Jiyang depression: A case study of the upper submember of member 4 to the lower submember of member 3 of Shahejie Formation[J]. Acta Petrolei Sinica, 2022, 43(5): 581-594. |
| [1] | 贾承造, 庞雄奇, 宋岩, 崔新璇, 胡耀, 徐帜, 姜林, 蒲庭玉, 姜福杰, 沈彬. 全油气系统的4种基本类型及其资源开发领域[J]. 石油与天然气地质, 2025, 46(4): 1019-1038. |
| [2] | 庞雄奇, 崔新璇, 贾承造, 鲍李银, 李才俊, 黎茂稳, 徐帜, 肖惠译, 郑定业, 金玉洁, 施砍园, 张思佳. 全油气系统理论在实用中面临的几个问题与解决方法[J]. 石油与天然气地质, 2025, 46(4): 1039-1054. |
| [3] | 刘可禹, 张思佳, 刘建良, 赵振丞, 金玉洁, 张婷, 林昊. 全油气系统:油气地质学研究新方向和油气勘探新范式[J]. 石油与天然气地质, 2025, 46(4): 1055-1070. |
| [4] | 陈君青, 贾承造, 姜林, 庞宏, 火勋港, 陈冬霞, 施砍园, 胡涛, 杨晓斌, 冉钧. 全油气系统非常规油气成藏过程中自封闭作用的主要类型与定量表征[J]. 石油与天然气地质, 2025, 46(4): 1071-1091. |
| [5] | 肖惠译, 庞雄奇, 李才俊, 胡涛, 徐帜, 林孝飞, 胡耀, 王雷, 崔新璇, 施砍园, 蒲庭玉, 鲍李银. 全油气系统形成演化过程中常规与非常规油气藏转化机制及模式[J]. 石油与天然气地质, 2025, 46(4): 1092-1106. |
| [6] | 施砍园, 庞雄奇, 陈君青, 陈掌星, 王雷, 蒲庭玉, 鲍李银, 惠沙沙, 肖惠译, 崔新璇. 全油气系统中储层润湿性与界面张力等关键参数变化特征及其分子动力学模拟[J]. 石油与天然气地质, 2025, 46(4): 1107-1122. |
| [7] | 庞宏, 刘国勇, 贾承造, 姜福杰, 姜林, 王建伟, 马学峰, 陈迪, 陈君青. 陆相断陷盆地全油气系统成藏动力场特征与有序分布模式——以渤海湾盆地南堡凹陷为例[J]. 石油与天然气地质, 2025, 46(4): 1136-1151. |
| [8] | 徐田武, 李素梅, 陈湘飞, 马学峰, 邓硕, 张莹莹. 渤海湾盆地东濮凹陷全油气系统特征及其成藏模式[J]. 石油与天然气地质, 2025, 46(4): 1152-1168. |
| [9] | 胡涛, 熊智明, 肖惠译, 徐田武, 徐云龙, 李素梅, 姜福杰, 黎茂稳, 姜林. 断陷湖盆全油气系统油气藏有序分布特征及差异富集机制——以渤海湾盆地东濮凹陷古近系沙河街组为例[J]. 石油与天然气地质, 2025, 46(4): 1169-1182. |
| [10] | 李素梅, 刘佳, 马学峰, 庞秋菊, 赵知非. 渤海湾盆地辽河坳陷西部凹陷全油气系统特征与勘探潜力[J]. 石油与天然气地质, 2025, 46(4): 1183-1199. |
| [11] | 周能武, 初众, 卢双舫, 张鹏飞, 王民, 林子智, 王军杰, 姜新雨, 刘阳, 陈国辉, 李文镖. 致密气与页岩气耦合成藏机制及其定量评价——以松辽盆地徐家围子断陷白垩系沙河子组为例[J]. 石油与天然气地质, 2025, 46(4): 1200-1214. |
| [12] | 康逊, 谭静强, 胡文瑄, 靳军, 胡瑞璞, 曹剑. 准噶尔盆地玛湖凹陷全油气系统成储机制差异性[J]. 石油与天然气地质, 2025, 46(4): 1250-1266. |
| [13] | 鲍李银, 庞雄奇, 邹亮, 陈宏飞, 林昊, 张婷, 沈彬, 王凯, 王睿. 全油气系统油气成藏动力判别与贡献量评价——以准噶尔盆地玛湖凹陷二叠系风城组为例[J]. 石油与天然气地质, 2025, 46(4): 1267-1280. |
| [14] | 胡耀, 贾承造, 庞雄奇, 宋永, 何文军, 陈宏飞, 鲍李银, 陈玮岩, 赵文, 肖惠译, 李才俊, 徐帜. 远源型致密油气藏运聚动力与成藏模式——以准噶尔盆地玛湖凹陷三叠系百口泉组砂砾岩油藏为例[J]. 石油与天然气地质, 2025, 46(4): 1281-1298. |
| [15] | 曹鹏, 赵振丞, 庞雄奇, 李才俊, 庞宏, 林会喜, 杨海军, 马奎友, 张思佳. 塔里木盆地台盆区下古生界全油气系统碳酸盐岩油气藏改造特征与成因模式[J]. 石油与天然气地质, 2025, 46(4): 1299-1315. |
| 阅读次数 | ||||||
|
全文 |
|
|||||
|
摘要 |
|
|||||