石油与天然气地质 ›› 2025, Vol. 46 ›› Issue (4): 1200-1214.doi: 10.11743/ogg20250412

• 油气地质 • 上一篇    下一篇

致密气与页岩气耦合成藏机制及其定量评价——以松辽盆地徐家围子断陷白垩系沙河子组为例

周能武1,2,3(), 初众1,2,3, 卢双舫1,2,3,4(), 张鹏飞1,2,3, 王民4, 林子智4, 王军杰1,2,3, 姜新雨4, 刘阳5, 陈国辉1,2,3, 李文镖1,2,3   

  1. 1.东北石油大学三亚海洋油气研究院,海南 三亚 572025
    2.东北石油大学 多资源协同陆相页岩油绿色开采全国重点实验室,黑龙江 大庆 163318
    3.东北石油大学 陆相页岩油气成藏及高效开发教育部重点实验室,黑龙江 大庆 163318
    4.中国石油大学(华东) 地球科学学院,山东 青岛 266580
    5.陕西涌鑫矿业有限责任公司,陕西 榆林 719400
  • 收稿日期:2025-04-17 修回日期:2025-07-15 出版日期:2025-08-30 发布日期:2025-09-06
  • 通讯作者: 卢双舫 E-mail:nengwuzhou@163.com;lushuangfang@upc.edu.cn
  • 第一作者简介:周能武(1993—),男,副教授、硕士研究生导师,非常规油气地质。E-mail:nengwuzhou@163.com
  • 基金项目:
    国家自然科学基金项目(42302183);海南省自然科学基金项目(424MS083)

Coupled accumulation mechanisms and quantitative evaluation of tight and shale gases: A case study of the Cretaceous Shahezi Formation, Xujiaweizi Fault Depression, Songliao Basin

Nengwu ZHOU1,2,3(), Zhong CHU1,2,3, Shuangfang LU1,2,3,4(), Pengfei ZHANG1,2,3, Min WANG4, Zizhi LIN4, Junjie WANG1,2,3, Xinyu JIANG4, Yang LIU5, Guohui CHEN1,2,3, Wenbiao LI1,2,3   

  1. 1.Sanya Offshore Oil & Gas Research Institute of Northeast Petroleum University,Sanya,Hainan 572025,China
    2.State Key Laboratory of Continental Shale Oil,Northeast Petroleum University,Daqing,Heilongjiang 163318,China
    3.Key Laboratory of Continental Shale Hydrocarbon Accumulation and Efficient Development,Ministry of Education,Northeast Petroleum University,Daqing,Heilongjiang 163318,China
    4.School of Geosciences,China University of Petroleum (East China),Qingdao,Shandong 266580,China
    5.Shaanxi Yongxin Mining Co. ,Ltd. ,Yulin,Shaanxi 719400,China
  • Received:2025-04-17 Revised:2025-07-15 Online:2025-08-30 Published:2025-09-06
  • Contact: Shuangfang LU E-mail:nengwuzhou@163.com;lushuangfang@upc.edu.cn

摘要:

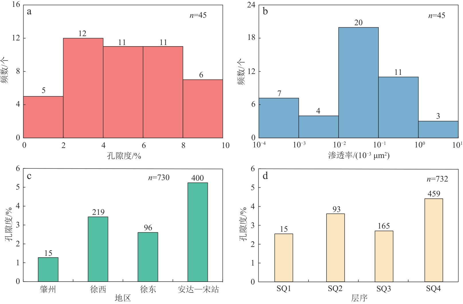
松辽盆地徐家围子断陷深层全油气系统主要由源内白垩系沙河子组滞留成藏的页岩气、短距离运移成藏的致密气以及经断裂运移后在基底变质岩和营城组火山岩内聚集形成的气藏共同构成。此全油气系统内,致密气和页岩气并非孤立存在,常常相伴相生,互相影响,但过去多将二者单独研究,未能系统剖析二者的共生特征及其关联性。以徐家围子断陷沙河子组泥页岩和砂砾岩互层为研究对象,将滞留成藏的页岩气与短距离运移成藏的致密气视为致密层系气一起解剖。在明确致密层系中烃源岩生-排气和储层储气能力的基础上,建立“三分烃源岩”和“四分储层”的分级评价标准,考虑砂/泥比配置,通过构建数值模型来阐明不同级别源-储配置条件的致密层系中,致密气和页岩气耦合成藏时的资源量分配和分布规律,从而认识致密气和页岩气的互补或共富关系。研究结果显示:致密气和页岩气耦合成藏类型可划分为24种,其中由Ⅰ级、Ⅱ级烃源岩,Ⅰ级、Ⅱ级致密储层和低于/等于最佳砂/泥比组合形成的4种致密层系为致密气和页岩气的共富区;由Ⅰ级、Ⅱ级烃源岩,Ⅰ级、Ⅱ级致密储层和高于最佳砂/泥比组合形成的4种致密层系为页岩气富集和紧邻烃源岩致密气富集区;由Ⅰ级、Ⅱ级烃源岩,Ⅲ级、Ⅳ级致密储层和任意砂/泥比组合形成的8种致密层系为页岩气富集而致密气贫乏区;由Ⅲ级烃源岩、任意级别致密储层和砂/泥比组合的8种致密层系为页岩气和致密气共贫区。沙河子组致密气和页岩气具有整体共富、局部互补的特征,主要富集区在北部安达—宋站地区,但是二者甜点并非完全重合,建议在达深24井区和宋站区域试着进行联合开发,其余区域以致密气开发为主。

关键词: 耦合成藏, 全油气系统, 致密气, 页岩气, 成藏机制, 沙河子组, 徐家围子断陷, 松辽盆地

Abstract:

The deep whole petroleum system in the Xujiaweizi Fault Depression of the Songliao Basin consists primarily of three parts: (1) shale gas retained in the Cretaceous Shahezi Formation source rocks; (2) tight gas reservoirs formed through long-distance migration; and (3) fault-transported gas accumulations in both basement metamorphic rocks and volcanic rocks of the Yingcheng Formation. Within this system, tight and shale gases tend to be interrelated rather than occurring independently. However, previous studies largely investigated them separately, failing to systematically analyze their paragenetic characteristics and interrelations. This study examines the stratigraphic interval consisting of shales interbedded with sandy conglomerates in the Shahezi Formation, Xujiaweizi Fault Depression. The shale gas retained and the tight gas that migrates over a short distance are analyzed together as tight sequence gas. Based on the clarification of gas generation and expulsion capabilities of source rocks and the gas storage capacity of reservoirs within the tight sequence system, we establish the three- and four-fold criteria for grading evaluation of source rocks and reservoirs, respectively. Considering the sand-to-mud ratios, we develop numerical models to elucidate the partitioning and distribution patterns of gas resources in the tight sequence system with varying source rock-reservoir configurations during the coupled reservoir formation of tight and shale gases. Accordingly, we determine the complementary or co-enrichment relationships between tight and shale gases. The results indicate that the tight sequence system containing coupled tight and shale gases can be categorized into 24 distinct types. Among these, four types featuring grade Ⅰ or Ⅱ source rocks, grade Ⅰ or Ⅱ tight reservoirs, and sand-to-mud ratios equal to or below their optimal value represent the co-enrichment areas of tight and shale gases. Four types characterized by grade Ⅰ or Ⅱ source rocks, grade Ⅰ or Ⅱ tight reservoirs, and sand-to-mud ratios exceeding their optimal value denote areas with shale gas enrichment, and tight gas enrichment immediately adjacent to source rocks. Eight types exhibiting grade Ⅰ or Ⅱ source rocks, grade Ⅲ or Ⅳ reservoirs, and any sand-to-mud ratios represent areas enriched in shale gas enrichment but depleted in tight gas. The remaining eight types featuring grade Ⅲ source rocks, any grades of reservoirs, and any sand-to-mud ratios represent the co-depletion areas of tight and shale gases. Generally, the Shahezi Formation exhibits overall co-enrichment, together with local occurrences of complementation. Major co-enrichment areas are located in the Anda-Songzhan area in the north. However, the sweet spots of the two gases do not completely overlap in these areas. It is recommended that joint exploitation of both gases should be attempted in well block Dashen-24 and the Songzhan area, while highlighting tight gas recovery in other areas.

Key words: coupled reservoir formation, whole petroleum system, tight gas, shale gas, accumulation mechanism, Shahezi Formation, Xujiaweizi Fault Depression, Songliao Basin

中图分类号: